Off-axis parabolic (OAP) mirrors are indispensable for achieving precise focus in high-performance optical systems. The design specifications of these mirrors play a crucial role in determining both the cost and performance of the systems they are integrated into. This article outlines the essential considerations for OAP mirror design, covering aspects such as geometry, material selection, and alignment features.
Design Specifications of OAP Mirrors
Off-axis parabolic mirrors (OAP mirrors) are crucial components in advanced optical systems, providing precise focal points for collimated light beams. Understanding and optimizing their design specifications is essential for ensuring both cost-effectiveness and high performance.
Geometry of OAP Mirrors
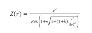
The geometry of an OAP mirror is fundamental to its design and performance. The “sag” or z-coordinate of the standard surface is given by the equation:

